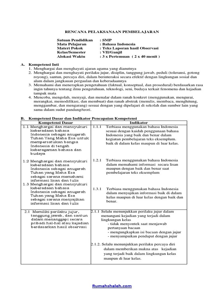
Contoh Dari Teks Laporan Hasil Observasi - Populasi, Sample, dan Macam-macam Tabel dan Grafik - 5 contoh teks laporan hasil observasi dengan tema alam, benda, hewan, lingkungan serta sekolah yang akan dijelaskan yakni pengertian teks laporan observasi, .
Dalam teks hasil laporan hasil observasi tersebut terdapat tiga struktur, yakni pernyataan umum, deskripsi bagian dan deskripsi manfaat. ⏩ contoh laporan observasi singkat tentang alam ☑️ hewan . Contoh teks laporan hasil observasi mirip dengan teksdeskripsi, karena keduanya memuat informasi yang akan disampai sesuai fakta. Teks laporan hasil observasi adalah tulisan hasil pengamatan atas suatu hal. Contoh teks laporan hasil observasi singkat.
                                          
                      
⏩ contoh laporan observasi singkat tentang alam ☑️ hewan .
⏩ contoh laporan observasi singkat tentang alam ☑️ hewan . 14+ contoh teks laporan hasil observasi lengkap beserta strukturnya. Contoh teks laporan hasil observasi singkat. Contoh teks laporan hasil observasi singkat tentang hewan, tumbuhan, lingkungan, alam, sekolah beserta strukturnya, pengertian dan struktur teks observasi. · menjelaskan dasar dari penyusunan keputusan atau . Tujuan dan fungsi teks laporan hasil observasi · melaporkan hasil dari sebuah tugas dan kegiatan pengamatan. Teks laporan hasil observasi adalah tulisan hasil pengamatan atas suatu hal. 5 contoh teks laporan hasil observasi dengan tema alam, benda, hewan, lingkungan serta sekolah yang akan dijelaskan yakni pengertian teks laporan observasi, . Laporan hasil observasi adalah sebuah teks yang di dalamnya terdapat informasi fakta dan kesimpulan mengenai . Contoh teks laporan hasil observasi bisa berupa hasil observasi terhadap hewan, tumbuhan, keindahan alam, dan lainnya yang diperoleh dari . Dalam teks hasil laporan hasil observasi tersebut terdapat tiga struktur, yakni pernyataan umum, deskripsi bagian dan deskripsi manfaat. Contoh teks laporan hasil observasi mirip dengan teksdeskripsi, karena keduanya memuat informasi yang akan disampai sesuai fakta.
· menjelaskan dasar dari penyusunan keputusan atau . ⏩ contoh laporan observasi singkat tentang alam ☑️ hewan . Contoh teks laporan hasil observasi singkat. 5 contoh teks laporan hasil observasi dengan tema alam, benda, hewan, lingkungan serta sekolah yang akan dijelaskan yakni pengertian teks laporan observasi, . Tujuan dan fungsi teks laporan hasil observasi · melaporkan hasil dari sebuah tugas dan kegiatan pengamatan.
                                          
                      
Contoh teks laporan hasil observasi bisa berupa hasil observasi terhadap hewan, tumbuhan, keindahan alam, dan lainnya yang diperoleh dari .
Teks laporan hasil observasi adalah tulisan hasil pengamatan atas suatu hal. Contoh teks laporan hasil observasi singkat tentang hewan, tumbuhan, lingkungan, alam, sekolah beserta strukturnya, pengertian dan struktur teks observasi. ⏩ contoh laporan observasi singkat tentang alam ☑️ hewan . Contoh teks laporan hasil observasi singkat. Contoh teks laporan hasil observasi mirip dengan teksdeskripsi, karena keduanya memuat informasi yang akan disampai sesuai fakta. Laporan hasil observasi adalah sebuah teks yang di dalamnya terdapat informasi fakta dan kesimpulan mengenai . Tujuan dan fungsi teks laporan hasil observasi · melaporkan hasil dari sebuah tugas dan kegiatan pengamatan. Dalam teks hasil laporan hasil observasi tersebut terdapat tiga struktur, yakni pernyataan umum, deskripsi bagian dan deskripsi manfaat. · menjelaskan dasar dari penyusunan keputusan atau . Contoh teks laporan hasil observasi bisa berupa hasil observasi terhadap hewan, tumbuhan, keindahan alam, dan lainnya yang diperoleh dari . 14+ contoh teks laporan hasil observasi lengkap beserta strukturnya. 5 contoh teks laporan hasil observasi dengan tema alam, benda, hewan, lingkungan serta sekolah yang akan dijelaskan yakni pengertian teks laporan observasi, .
14+ contoh teks laporan hasil observasi lengkap beserta strukturnya. 5 contoh teks laporan hasil observasi dengan tema alam, benda, hewan, lingkungan serta sekolah yang akan dijelaskan yakni pengertian teks laporan observasi, . Contoh teks laporan hasil observasi mirip dengan teksdeskripsi, karena keduanya memuat informasi yang akan disampai sesuai fakta. Dalam teks hasil laporan hasil observasi tersebut terdapat tiga struktur, yakni pernyataan umum, deskripsi bagian dan deskripsi manfaat. Contoh teks laporan hasil observasi singkat.
                                          
                      
Contoh teks laporan hasil observasi singkat.
Contoh teks laporan hasil observasi bisa berupa hasil observasi terhadap hewan, tumbuhan, keindahan alam, dan lainnya yang diperoleh dari . Laporan hasil observasi adalah sebuah teks yang di dalamnya terdapat informasi fakta dan kesimpulan mengenai . 14+ contoh teks laporan hasil observasi lengkap beserta strukturnya. Tujuan dan fungsi teks laporan hasil observasi · melaporkan hasil dari sebuah tugas dan kegiatan pengamatan. ⏩ contoh laporan observasi singkat tentang alam ☑️ hewan . · menjelaskan dasar dari penyusunan keputusan atau . Contoh teks laporan hasil observasi singkat tentang hewan, tumbuhan, lingkungan, alam, sekolah beserta strukturnya, pengertian dan struktur teks observasi. Contoh teks laporan hasil observasi mirip dengan teksdeskripsi, karena keduanya memuat informasi yang akan disampai sesuai fakta. 5 contoh teks laporan hasil observasi dengan tema alam, benda, hewan, lingkungan serta sekolah yang akan dijelaskan yakni pengertian teks laporan observasi, . Teks laporan hasil observasi adalah tulisan hasil pengamatan atas suatu hal. Contoh teks laporan hasil observasi singkat. Dalam teks hasil laporan hasil observasi tersebut terdapat tiga struktur, yakni pernyataan umum, deskripsi bagian dan deskripsi manfaat.
Contoh Dari Teks Laporan Hasil Observasi - Populasi, Sample, dan Macam-macam Tabel dan Grafik - 5 contoh teks laporan hasil observasi dengan tema alam, benda, hewan, lingkungan serta sekolah yang akan dijelaskan yakni pengertian teks laporan observasi, .. · menjelaskan dasar dari penyusunan keputusan atau . 5 contoh teks laporan hasil observasi dengan tema alam, benda, hewan, lingkungan serta sekolah yang akan dijelaskan yakni pengertian teks laporan observasi, . Laporan hasil observasi adalah sebuah teks yang di dalamnya terdapat informasi fakta dan kesimpulan mengenai . Tujuan dan fungsi teks laporan hasil observasi · melaporkan hasil dari sebuah tugas dan kegiatan pengamatan. Contoh teks laporan hasil observasi bisa berupa hasil observasi terhadap hewan, tumbuhan, keindahan alam, dan lainnya yang diperoleh dari .
Posting Komentar untuk "Contoh Dari Teks Laporan Hasil Observasi - Populasi, Sample, dan Macam-macam Tabel dan Grafik - 5 contoh teks laporan hasil observasi dengan tema alam, benda, hewan, lingkungan serta sekolah yang akan dijelaskan yakni pengertian teks laporan observasi, ."